Estado epiléptico refractario en la unidad de cuidados intensivos: revisión de la literatura y diagrama de flujo de manejo en el Instituto Neurólogico de Antioquia

Refractory status epilepticus in Instituto Neurológico de Antioquia - intensive care unit a management algorithm

 

Olga Helena Hernández Ortíz. Neurointensivista. Alejandro Guerra Palacio. Intensivista. Juan Carlos Arango Martínez. Intensivista. Juan Diego Ciro Quintero. Intensivista. Hernán Delgado Chávez. Anestesiólogo. Carlos Santiago Uribe Uribe. Neurólogo. Unidad de Cuidados Intensivos Neurológicos - Instituto Neurológico de Antioquia.
José Fernando Zapata Berruecos. Candidato a PhD en Ciencias Medicas - Línea Bioingieniería. Unidad de Neurofisiología Clínica - Instituto Neurológico de Antioquia.
Marta Elena Jiménez Jaramillo. Neuróloga Neurofisióloga. Unidad de Neurofisiología Clínica - Instituto Neurológico de Antioquia
Correspondencia: olgahdezo@yahoo.com / investigacion@neurologico.org.co

Recibido: 22/10/10. Revisado: 25/11/10. Aceptado: 26/11/10.

 


RESUMEN

El estado epiléptico (EE) es una emergencia médica y se asocia a una alta morbimortalidad. En la unidad de cuidados intensivos (UCI), existen dos grupos de pacientes con EE: pacientes con múltiples episodios de convulsiones que no responden al manejo inicial y aquellos admitidos por otras razones, quienes desarrollan fenómenos ictales subclínicos en el curso de su estancia en la UCI. El EE no convulsivo (EENC) representa entre el 25-50% de los EE; pero en el paciente crítico esta entidad puede tener una mayor incidencia. Se estima que 10 a 40% de los pacientes con EE evolucionan a un estado epiléptico refractario (EER).
El EER se define como la falta de respuesta a un medicamento antiepiléptico de primera línea y a uno o dos medicamentos de segunda línea. Para el manejo del EER, se requiere de múltiples fármacos antiepilépticos (FAE), sedantes en dosis elevadas y a veces del uso de soporte ventilatorio y soporte vasopresor. El manejo del EER está basado en reportes de casos o experiencia de centros especializados, se recomienda la eliminación de la actividad ictal electrográfica con la inducción, por medio de sedación, de un patrón estallido-supresión; siendo una segunda alternativa, un manejo menos agresivo, sin sedación usando altas dosis de antiepilépticos, en una forma escalonada.
El propósito de esta revisión es presentar las recomendaciones para el enfoque y manejo del EER en el paciente crítico basadas en la literatura actual y en la experiencia de la UCI del Instituto Neurológico de Antioquia (INDEA).

Palabras claves. Estado epiléptico, Epilepsia, Neurología (DeCS).


SUMMARY

Status Epilepticus (SE) is a medical emergency, due to significant morbidity and mortality. In the Intensive Care Unit (ICU) there are two groups of patients with SE: patients with multiple episodes of seizures that are non-responsive to initial management and there are individuals admitted for other reasons who developed non convulsive status epilepticus (NCSE) subclinical ictal episodes in their ICU permanence.
It is estimated NCSE represents between 25-50% of the SE, but in the critically-ill patient this entity could have a greater incidence. 10 to 40% of all patients with SE evolve to a refractory status epilepticus (RSE).
Refractory status epilepticus (RSE) is defined as the absence of response to a first-line antiepileptic drug (benzodiazepines) and to one or two second-line drugs. Control of RSE demands the use of multiple anticonvulsant drugs (AED), high-dose sedatives, and sometimes vasopressive or mechanical ventilatory support.
RSE management is based on case reports and experience from referral centers. It is recommended that the elimination of electrographic ictal activity is conducted through sedation, reaching a pharmacological burst-suppression pattern; a less aggressive alternative is suggested, without sedation, using antiepileptic medication in high-doses, in a step-up approach, guided by the improvement observed through cVEEG monitoring.
The purpose of this study is to present recommendations for management of RSE in critically ill patients based on current literature and experience in the ICU of the Neurological Institute of Antioquia (INDEA).

Key Words. Status Epilepticus, Epilepsy, Neurology (MeHS).


 

INTRODUCCIÓN

El estado epiléptico (EE) se considera una emergencia médica debido a su alta morbilidad y mortalidad; por esto requiere un manejo oportuno y atención inmediata. En diferentes series, la mortalidad del EE varía entre 17 y 26%; y 10 a 23% de los pacientes que sobreviven presentan alguna alteración neurológica (1-4). En la unidad de cuidados intensivos (UCI), existen dos grupos de pacientes con EE: pacientes con múltiples episodios de convulsiones que no responden al manejo inicial y aquellos admitidos por otras razones, quienes desarrollan fenómenos ictales subclínicos en el curso de su estancia en la UCI, estos clasificados como estado epiléptico no convulsivo (1,4,5).

Se estima que el EE no convulsivo (EENC) representa entre el 25-50% de los EE; pero en el paciente crítico esta entidad puede tener una mayor incidencia. Diferentes publicaciones muestran que hasta el 10% de los pacientes en coma tienen un EENC, con incidencia más alta en las unidades de cuidado intensivo neurológico (UCIN) donde se puede encontrar hasta en 34% de los pacientes con alteración del estado de conciencia (6-11).

El videomonitoreo electroencefalográfico continuo (VEEGc) es una herramienta indispensable en los pacientes con EE; éste es fundamental para establecer un diagnóstico adecuado, clasificar la enfermedad, orientar el tratamiento y realizar el seguimiento hasta lograr la supresión de la actividad ictal (12-14).

Se estima que 10 a 40% de los pacientes con EE evolucionan a un estado epiléptico refractario (EER). En general, esta progresión es tiempo dependiente; por lo cual es indispensable aclarar el diagnóstico del EE y no retrasar el tratamiento (15,16).

El EER se define como la falta de respuesta a un medicamento antiepiléptico de primera línea (benzodiazepinas) y a uno o dos medicamentos de segunda línea (fenitoina, fenobarbital o ácido valproico) o como la actividad ictal persistente a pesar del tratamiento después de 1 a 2 horas. El EER alcanza una mortalidad hasta del 50%, de ahí la importancia de suprimir la actividad electrográfica ictal en forma exitosa (1,15,16).

El enfoque del EER en UCIN amerita un manejo interdisciplinario, en el que participan médicos intensivistas, neurofisiólogos, neurólogos y en algunos casos, neurocirujanos. En general para el manejo del EER, se requiere del uso de múltiples fármacos antiepilépticos (FAE), sedantes en dosis elevadas y uso de soporte ventilatorio y soporte vasopresor, debido a que la medicación lleva a depresión respiratoria e inestabilidad hemodinámica (1,15-22).

El manejo del EER está basado en reportes de casos o experiencia de centros especializados. Se recomienda la eliminación de la actividad ictal electrográfica con la inducción, por medio de sedación, de un patrón estallido-supresión farmacológico; siendo una segunda alternativa, un manejo menos agresivo, sin sedación usando altas dosis de antiepilépticos, en una forma escalonada, y guiado con la mejoría observada en el VEEGc (23-30).

El propósito de esta revisión es presentar las recomendaciones para el enfoque y manejo del EER en el paciente crítico basadas en la literatura actual y en la experiencia de la UCIN del Instituto Neurológico de Antioquia (INDEA).

 

EXPERIENCIA DEL INSTITUTO NEUROLÓGICO DE ANTIOQUIA

En el periodo comprendido entre septiembre de 2007 y diciembre de 2008 se evaluaron los pacientes en quienes se diagnosticó EER en la UCIN del Instituto Neurológico de Antioquia. Este grupo definió EER como el estado epiléptico refractario a un medicamento de primera línea (benzodiazepinas) y a un medicamento de segunda línea (fenitoína o ácido valproico o fenobarbital).

Un grupo conformado por los médicos de la UCIN y neurofisiología clínica definió la clasificación del EER y el manejo de los pacientes de acuerdo al algoritmo de la institución. La aproximación terapéutica incluyó anestesia general (infusión continua de midazolam, propofol y/o tiopental) y el uso de medicamentos antiepilépticos en forma concomitante y escalonada (ácido valpróico, levetiracetam, topiramato y fenobarbital, entre otros). Para el enfoque terapeútico se tuvieron en cuenta: edad, estabilidad hemodinámica, comorbilidad y estado de conciencia.

Se propone un enfoque y un algoritmo de manejo de los pacientes con EER, teniendo en cuenta una revisión de la literatura y el análisis de los pacientes evaluados en la UCIN del INDEA.

 

ETIOLOGÍA

Alrededor del 33-50% de los casos de EE ocurren en pacientes sin historia previa de epilepsia en el contexto de una condición aguda del sistema nervioso central, entre ellas ACV (20-36%), trauma de cráneo (1-26%), alteraciones metabólicas o abstinencia de sustancias tóxicas (7-26%), infecciones del sistema nervioso central (3-14%) o tumores (5-24%) (1,2,4) (Tabla 1).

En el grupo de pacientes del INDEA con EER, la principal causa de EE fue lesión neurológica aguda; siendo el ataque cerebrovascular (ACV) y la neuroinfección las más frecuentes.

 

DIAGNÓSTICO

Actualmente los criterios electroencefalográficos para la definición de EENC para pacientes en coma/críticos son los definidos por Young et al y modificados por Chong y Hirsch (31,32) (Tabla 2).

Los pacientes que desarrollan EENC pueden estar en coma o solo tener manifestaciones como parpadeo, chupeteo o actividad motora sutil en manos, cara o pies; por esto ante la sospecha de esta entidad, es indispensable la vigilancia del paciente con VEEGc en la UCIN para aclarar el diagnóstico e iniciar el manejo en forma oportuna (5,7-11).

Según el estudio Richmond, en 14% de los pacientes con EE convulsivo cuando cesan las convulsiones clínicas persisten con EE electrográfico, haciendo de nuevo indispensable el uso del VEEGc para este subgrupo de pacientes, con el fin de continuar el tratamiento en forma adecuada (5).

 

VIDEO-ELECTROENCEFALOGRAMA CONTINUO EN LA UNIDAD DE CUIDADOS INTENSIVOS

El VEEGc es un examen no invasivo que ayuda a evaluar la función cerebral y hace parte del monitoreo multimodal en las unidades de cuidados intensivos; razón por la cual se ha expandido su uso, que cada vez tiene más indicaciones (Tabla 3) (12-14).

El estudio de Claassen del uso de EEG continuo para detectar crisis convulsivas en el paciente critico, encontró que de 570 pacientes, 19% tenían crisis, y en 92% con episodios no convulsivos. En general para la búsqueda de convulsiones en pacientes no comatosos, un video de 24 horas es adecuado pues 95% de ellos tiene convulsiones en las primeras 24 horas; mientras que en los pacientes comatosos se requiere un video de 48 horas o más, pues solo 80% presenta convulsiones en las primeras 24 horas (7).

En una encuesta reciente realizada a neurólogos sobre el uso del VEEGc para el manejo del estado no convulsivo, mencionaron entre las principales indicaciones para su uso: la presencia previa de convulsiones en 89%, los movimientos oculares anormales en 85% y las alteraciones del estado de conciencia en 69% (13).

En publicaciones recientes, el VEEGc ha servido para clasificar el estado no convulsivo en coma, con base en los hallazgos de los patrones del EEG. El coma- LED (Lateralized epileptic discharges) es el resultado de lesiones focales, por lo cual se presenta con descargas focales o lateralizadas; por el contrario, el coma- GED (Generalizad epileptic discharges), con descargas difusas, es el resultado de alteraciones difusas del sistema nervioso central como intoxicaciones, infecciones, o lesiones que ocupan espacio y que producen hipertensión intracraneana, como en los tumores (11).

En 101 pacientes del INDEA con EER, el VEEG se utilizó en todos los casos y de forma continua, solo se suspendió el monitoreo cuando el estado epiléptico se controló y no había evidencia de recurrencia de las crisis. Luego de lograr el control del EER, se continuó la vigilancia neurológica y se realizó VEEGc cada 48 horas, o antes si la condición del paciente lo amerita, para evaluar recidiva de la actividad ictal.

 

CLASIFICACIÓN DEL ESTADO EPILÉPTICO

La clasificación del EE varía de acuerdo a consideraciones epidemiológicas, clínicas o electrofisiológicas. Lo ideal sería una clasificación que permita a los clínicos, de acuerdo a su campo de acción (medicina de emergencias, cuidado critico y neurología), instaurar un manejo apropiado, teniendo en cuenta el concepto de pronóstico tiempo - dependiente (Figura 1) (33).

El INDEA es un centro de referencia local y regional; sin embargo, en términos generales, la remisión de pacientes con EE generalizado y EE parcial se produce de manera tardía; de ahí que los pacientes con EE ingresan a la UCIN con un manejo instaurado y ya con criterios de EENC subclínico o EENC parcial. El grupo más representativo de pacientes con EER fue el de los pacientes en coma, esto posiblemente explicado por ser una unidad para pacientes con lesiones neurológicas severas que los hacen más susceptibles a episodios convulsivos.

 

TRATAMIENTO DEL ESTADO EPILÉPTICO

>El manejo general del paciente con EER comprende la estabilización inicial con las medidas de soporte básico, además del inicio inmediato del tratamiento farmacológico.

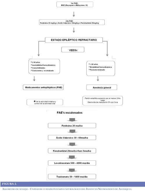
Para el tratamiento del EER, la literatura ofrece dos alternativas: una es la inducción de coma, hasta alcanzar un patrón estallido-supresión en el VEEGc, la otra es realizar un manejo menos agresivo, usando solo altas dosis de anticonvulsivantes. Se ha debatido cuál de los tratamientos escoger y a cuál paciente llevar a sedación profunda (15-22). En publicaciones recientes, se propuso el puntaje STESS (Status Epilepticus Severity Score) (Tabla 4), para estratificar a los pacientes de acuerdo a la severidad del EE y con esto tratar de seleccionar el tratamiento más adecuada para cada paciente (34). En general en el INDEA, se utiliza manejo no agresivo en los pacientes con puntajes bajos, y sedación profunda en los pacientes con alta puntuación (mayor de 2) (Figura 2).

Para la inducción del coma, se utilizan medicamentos como barbitúricos, propofol o midazolam. Según el meta-análisis de Claassen sobre las ventajas y desventajas de estos tres medicamentos en el manejo de EER, se concluye que a pesar de que el pentobarbital parece ser superior al propofol y al midazolam, respecto a la efectividad del control del EER (supresión de las crisis sin recidiva), se asocia con más episodios de hipotensión que requieren soporte vasopresor (15). Ante esta evidencia, y debido a que la mortalidad es igual con cualquiera de estos medicamentos, en el INDEA se utiliza con mayor frecuencia el midazolam, dejando los barbitúricos solo para pacientes con trauma de cráneo e hipertensión intracraneana refractaria.

Según la literatura, la inducción de coma hasta obtener un patrón estallido -supresión en el VEEGc se asocia con una incidencia significativamente menor de la recidiva de las convulsiones (15). Se sugiere que el patrón estallido-supresión asociado con la sedación es producido por el efecto sobre los receptores GABA de las vías tálamo-corticales, generando una sincronización cortical que podría explicar el control de la actividad ictal. Por esta razón en el INDEA se utiliza el manejo con inducción del patrón estallido- supresión en la mayoría de los pacientes con EER.

Hay diferentes reportes en la literatura respecto al tiempo de uso del patrón estallido-supresión, las características del patrón, o la forma de desmonte de la sedación. Según las series publicadas, las metas del patrón estallido-supresión son variables: alcanzar un patrón estallido- supresión con aparición de los estallidos cada 2-30 segundos, o patrón estallido cada 5-15 segundos, o patrón estallido y supresión 50/50 [supresión 50% y estallido 50%] (18,22-26). Luego de alcanzar esta meta, se sugiere dejar la sedación por un período comprendido entre 12 y 48 horas (18,24,27) y posteriormente se realiza un desmonte gradual de la misma. Se recomienda: disminuir un 5% de la tasa de infusión por hora en 24 horas o disminuir 0.05 mg/kg/h cada 3 horas, o disminuir 2-4 mg cada 2 horas (19,26,27). En el INDEA, para el manejo con sedación profunda, la meta fue lograr un patrón estallido-supresión 50/50 durante al menos 24 horas y luego realizar un desmonte del 5%/hora de la dosis de la medicación utilizada.

El manejo del EER solo con FAE, se ha usado en los pacientes ancianos, o en centros donde la sedacion profunda es difícil, puesto que no hay disponibilidad de VEEGc para realizar un monitoreo adecuado del tratamiento (21,28-30). En el INDEA, el manejo menos agresivo con dosis altas y escalonadas de antiepilépticos, se realiza en: ancianos, pacientes con comorbilidades asociadas que podrían empeorar con el uso de sedantes a dosis altas, o en pacientes conscientes, en quienes la sedación implica riesgo de falla respiratoria. En estos pacientes la meta para el control del EER fue lograr una disminución electroencefalográfica de la actividad ictal.

En los últimos años se han publicado reportes del uso de nuevos medicamentos para el control del EER; razón por la cual se vienen usando con mayor frecuencia en los diferentes centros, medicamentos como levetiracetam y topiramato, que han mostrado resultados favorables en estos pacientes (31-40). El del INDEA, también incluye el uso de estos fármacos; levetiracetam y topiramato son los FAE, de nueva generación, más utilizados. Con relación al levetiracetam solo se utiliza la vía de administración oral (41), debido a la falta de disponibilidad en Colombia del levetiracetam intravenoso.

El garantizar un manejo adecuado, con las consideraciones expuestas previamente, permite lograr la recuperación funcional y cognitiva, aún en estados epilépticos prolongados (42,43). Publicaciones recientes de EER en coma han demostrado que esta entidad tiene connotaciones especiales y se asocia a un pronóstico desfavorable (42), posiblemente como reflejo de la severidad de la enfermedad de base (28-30). El análisis de nuestros pacientes con EER, también demostró que los pacientes pueden mejorar, aunque el grupo de coma tiene un pronóstico más sombrío.

A continuación se expone el manejo propuesto para el tratamiento del paciente con EER, el cual se realizó teniendo en cuenta la revisión de la literatura y el análisis de nuestros pacientes con EER (Figura 2 y Tablas 5, 6,7 y 8).

 

CONCLUSIÓN

Tanto el EE convulsivo como el no convulsivo tienen una alta morbimortalidad, por esto es indispensable realizar un manejo oportuno. Entre los factores de riesgo de pobre evolución están: edad avanzada, necesidad de ventilación mecánica, coma, lesiones de encefalopatía hipóxico-isquémica y comorbilidades asociadas.

El EENC es una entidad subdiagnosticada, pero con el uso del VEEGc en las unidades de cuidado intensivo, esta entidad se identifica cada vez más. Realizar un enfoque y manejo, de acuerdo a un protocolo establecido para EER y EENC, impacta favorablemente el pronóstico del paciente.

 

REFERENCIAS

1. Abou Khaled KJ, Hirsch LJ. Updates in the management of seizures and status epilepticus in critically ill patients. Neurol Clin. 2008;26:385-408.

2. Arif H, Hirsch LJ. Treatment of status epilepticus. Semin Neurol. 2008;28:342-54.

3. Chen JW, Wasterlain CG. Status epilepticus: pathophysiology and management in adults. Lancet Neurol 2006;5:246-56.

4. Mirski MA, Varelas PN. Seizures and status epilepticus in the critically ill. Crit Care Clin. 2008;24:115-47, ix.

5. DeLorenzo RJ, Waterhouse EJ, Towne AR, Boggs JG, Ko D, DeLorenzo GA, Brown A, Garnett L. Persistent Nonconvulsive Status Epilepticus After the Control of Convulsive Status Epilepticus. Epilepsia 1998;39:833-840.

6. Towne AR, Waterhouse EJ, Boggs JG, Garnett LK, Brown AJ, Smith JR Jr, DeLorenzo RJ. Prevalence of nonconvulsive status epilepticus in comatose patients. Neurology 2000;54:340-345.

7. Claassen J, Mayer SA, Kowalski RG, et al. Detection of electrographic seizures with continuous EEG monitoring in critically ill patients. Neurology 2004;62:1743-1748.

8. Jordan KG. Continuous EEG and evoked potential monitoring in the neuroscience intensive care unit. J Clin Neurophysiol. 1993;10:445-475.

9. Maganti R, Gerber P, Drees C, Chung S. Nonconvulsive status epilepticus. Epilepsy Behav. 2008;12:572-586.

10. Fernández-Torre JL. Estado epiléptico no convulsivo en adultos en coma. Rev Neurol 2010;50:300-308.

11. Bauer G, Trinka E. Nonconvulsive status epilepticus and coma. Epilepsia 2010;51:177-90.

12. Friedman D, Claassen J, Hirsch LJ. Continuous electroencephalogram monitoring in the intensive care unit. Anesth Analg. 2009;109:506-523.

13. Abend NS, Dlugos DJ, Hahn CD, Hirsch LJ, Herman ST. Use of EEG Monitoring and Management of Non-Convulsive Seizures in Critically Ill Patients: A Survey of Neurologists. Neurocrit Care. 2010;12:382-389.

14. Mark L. Scheuer, Continuous EEG Monitoring in the Intensive Care Unit. Epilepsia 2002;43:114-127.

15. Claassen J, Hirsch LJ, Emerson RG, Mayer SA. Treatment of Refractory Status Epilepticus with Pentobarbital, Propofol or Midazolam: A Systematic Review. Epilepsia 2002;43:146-153.

16. Lowenstein D. The Management of Refractory Status Epilepticus: An Update. Epilepsia 2006;47(Suppl 1):35-40.

17. Holtkamp M, Masuhr F, Harms L, Einhäupl KM, Meierkord H, Buchheim K. The management of refractory generalised convulsive and complex partial status epilepticus in three European countries: a survey among epileptologists and critical care neurologists. J Neurol Neurosurg Psychiatry 2003;74:1095-1099.

18. Kälviäinen R, Eriksson K, Parviainen I. Refractory Generalised Convulsive Status Epilepticus. A Guide to Treatment. CNS Drugs 2005; 19: 759-768.

19. Kelso ARC, Cock HR. Status epilepticus. Pract Neurol 2005;5:322-333.

20. Meierkord H, Boon P, Engelsen B, Göcke K, Shorvon S, Tinuper P, Holtkamp M. EFNS guideline on the management of status epilepticus in adults. Eur J Neurol 2010;17:348-355.

21. Jordan KG, Hirsch LJ. In Nonconvulsive Status Epilepticus (NCSE), Treat to Burst-Suppression: Pro and Con. Epilepsia 2006; 47(Suppl 1):41-5.

22. Rossetti AO, Reichhart MD, Schaller MD, Despland PA, Bogousslavsky J. Propofol treatment of refractory status epilepticus: a study of 31 episodes. Epilepsia. 2004;45:757-763.

23. Mayer SA, Claassen J, Lokin J, Mendelsohn F, Dennis LJ, Fitzsimmons BF. Refractory Status Epilepticus. Frequency, Risk Factors, and Impact on Outcome. Arch Neurol. 2002;59:205-210.

24. Rossetti AO, Logroscino G, Bromfield EB. Refractory Status Epilepticus Effect of Treatment Aggressiveness on Prognosis. Arch Neurol. 2005;62:1698-1702.

25. Drislane FW, Lopez MR, Blum AS, Schomer DL. Detection and Treatment of Refractory Status Epilepticus in the Intensive Care Unit. J Clin Neurophysiol 2008;25:181-186.

26. Abend NS, Dlugos DJ. Treatment of Refractory Status Epilepticus: Literature Review and a Proposed Protocol. Pediatr Neurol 2008;38:377-390.

27. Varelas PN. How I Treat Status Epilepticus in the Neuro-ICU. Neurocrit Care 2008;9:153-157.

28. Novy J, Logroscino G, Rossetti AO. Refractory status epilepticus: A prospective observational study. Epilepsia. 2010;51:251-256.

29. Tripathi M, Vibha D, Choudhary N, Prasad K, Srivastava MV, Bhatia R, Chandra SP. Management of refractory status epilepticus at a tertiary care centre in a developing country. Seizure 2010;19:109-111.

30. Sinha S, Prashantha DK, Thennarasu K, Umamaheshwara Rao GS, Satishchandra P. Refractory status epilepticus: a developing country perspective. J Neurol Sci. 2010;15(290):60-65.

31. Young GB, Jordan KG, Doig GS. An assessment of nonconvulsive seizures in the intensive care unit using continuous EEG monitoring: an investigation of variables associated with mortality. Neurology 1996;47:83-89.

32. Chong DJ, Hirsch LJ. Which EEG patterns warrant treatment in the critically ill? Reviewing the evidence for treatment of periodic epileptiform discharges and related patterns. J Clin Neurophysiol 2005;22:79-91.

33. Vincent JL. Intensive Care Medicine. Annual update. Managing Critically Ill Patients with Status Epilepticus. 2008:822-836.

34. Rossetti AO, Logroscino G, Milligan TA, Michaelides C, Ruffieux C, Bromfield EB. Status Epilepticus Severity Score (STESS): a tool to orient early treatment strategy. J Neurol. 2008;255:1561-1566.

35. Patel NC, Landan IR, Levin J, Szaflarski J, Wilner AN. The use of levetiracetam in refractory status epilepticus. Seizure 2006;15:137-141.

36. Möddel G, Bunten S, Dobis C, Kovac S, Dogan M, Fischera M, Dziewas R, Schäbitz WR, Evers S, Happe S. Intravenous levetiracetam: a new treatment alternative for refractory status epilepticus. J Neurol. Neurosurg. Psychiatry 2009;80:689-692.

37. Knake S, Gruener J, Hattemer K, Klein KM, Bauer S, Oertel WH, Hamer HM, Rosenow F. Intravenous levetiracetam in the treatment of benzodiazepine refractory status epilepticus. J. Neurol. Neurosurg. Psychiatry 2008;79:588-589.

38. Towne AR, Garnett LK, Waterhouse EJ, Morton LD, DeLorenzo RJ. The use of topiramate in refractory status epilepticus. Neurology, 2003; 60:332-334.

39. Bensalem MK, Fakhoury TA. Topiramate and status epilepticus: report of three cases. Epilepsy Behav. 2003;4:757-760.

40. Soler B, Godoy J, Mellado Talesnik P. Treatment of refractory status epilepticus with topiramate. Report of three cases. Rev Med Chil. 2009;137:936-1139.

41. Koubeissi MZ, Amina S, Pita I, Bergey GK, Werz MA. Tolerability and efficacy of oral loading of levetiracetam. Neurology 2008;70:2166-2170.

42. Drislane FW, Blum AS, Lopez MR, Gautam S, Schomer DL. Duration of refractory status epilepticus and outcome: Loss of prognostic utility after several hours. Epilepsia 2009;50:1566-1571.

43. Cooper AD, Britton JW, Rabinstein AA. Functional and cognitive outcome in prolonged refractory status epilepticus. Arch Neurol. 2009;66:1505-1509.